Projektmanagement

Lernhilfe zum Thema Zeit, Risiko und Kosten

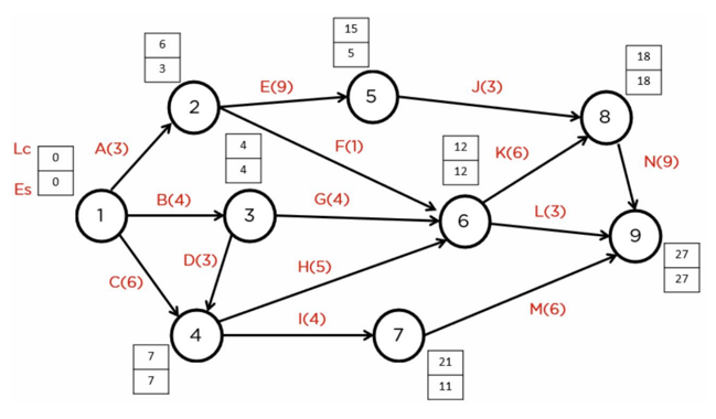
1. Zeitmanagement: Critical Path Method (CPM)

Was ist CPM?

Die Critical Path Method (CPM) ist eine Technik, um Aufgaben zu identifizieren, die für den Projektabschluss entscheidend sind, und den Zeitplan zu optimieren. Der kritische Pfad ist dabei die längste Abfolge von Aktivitäten, die termingerecht abgeschlossen werden müssen, damit das Projekt insgesamt fertiggestellt wird.

Definitionen

  • Critical Path (Kritischer Pfad): Die längste Sequenz von abhängigen Aktivitäten in einem Projekt, die den frühestmöglichen Projektabschluss bestimmt. Aktivitäten auf diesem Pfad haben keinen Puffer.
  • Float (Puffer): Die Zeit, um die eine Aktivität verzögert werden kann, ohne den Endtermin des Projekts zu verschieben. Auch bekannt als Slack.
  • Total Float (Gesamtpuffer): Der maximale Betrag, um den eine Aktivität verzögert werden kann, ohne den Projektabschluss zu verzögern.
  • Free Float (Freier Puffer): Der maximale Betrag, um den eine Aktivität verzögert werden kann, ohne die frühestmögliche Startzeit einer nachfolgenden Aktivität zu verschieben.
Beispiel eines Graphen für die Critical Path Method

Reflektion: Strategie und Taktik

Bei Verzögerungen im kritischen Pfad ist es wichtig, strategisch zu planen. Man kann Pufferzeiten ("Float") von nicht-kritischen Pfaden nutzen, um Verzögerungen im kritischen Pfad auszugleichen. Zudem ist es entscheidend, Engpässe frühzeitig zu erkennen und zu beheben, um den kritischen Pfad zu schützen.

2. Risikomanagement

Ziel und Prozess

Ziel ist es, die Wahrscheinlichkeit und den Einfluss negativer Risiken zu verringern und positive Risiken zu maximieren.

  1. Risikomanagement planen: Aktivitäten und Werkzeuge festlegen.
  2. Risiken identifizieren: Spezifische Projektrisiken erkennen.
  3. Qualitative Risikoanalyse: Risiken priorisieren.
  4. Quantitative Risikoanalyse: Wahrscheinlichkeiten und Auswirkungen analysieren.
  5. Risiko-Reaktionen planen: Strategien zur Risikominderung entwickeln.

Risikokategorien und -qualifizierung

Kategorien

  • Technisch, Management, kommerziell, extern.

Qualifizierung

Risiken werden nach ihrer Eintrittswahrscheinlichkeit und ihrem potenziellen Einfluss bewertet (z.B. mit einer Wahrscheinlichkeits- und Wirkungsmatrix).

3. Kostenmanagement

Das Dreieck der Beschränkungen

Das klassische Dreieck der Beschränkungen stellt einen Kompromiss zwischen Kosten, Zeit und Umfang dar. Eine Änderung an einem Aspekt wirkt sich auf die anderen aus.

Erweitertes Dreieck:

  • Kosten steigen mit Zeit, Umfang, Qualität, Risiko und Wert.
  • Wert steigt mit geringerem Risiko, kurzer Zeit, größerem Umfang und höherer Qualität.
  • Risiko steigt mit dem Umfang und sinkt mit höherer Qualität und höheren Kosten.
Sechseck mit den Projektfaktoren: Zeit, Wert, Umfang, Qualität, Kosten und Risiko.

Earned Value Analysis (EVA)

EVA ist eine Technik zur Messung der Projektleistung und des Fortschritts. Sie kombiniert den Umfang, die Kosten und den Zeitplan.

  • Earned Value (EV): Der Wert der tatsächlich geleisteten Arbeit.
  • Planned Value (PV): Der geplante Wert der Arbeit bis zu einem bestimmten Zeitpunkt.
  • Actual Cost (AC): Die tatsächlichen Kosten der geleisteten Arbeit.
  • Cost Variance (CV): CV = EV - AC (> 0 = unter Budget).
  • Schedule Variance (SV): SV = EV - PV (> 0 = im Zeitplan).

Peopleware & The Mythical Man-Month

Dieses Konzept betont, dass Menschen unter Zeitdruck nicht besser, sondern nur schneller arbeiten. Es befasst sich mit der menschlichen und organisatorischen Seite der Softwareentwicklung.

  • The Mythical Man-Month: "Wenn ein Projekt in Verzug ist, macht es die Hinzufügung weiterer Arbeitskräfte noch später." Dies liegt an erhöhtem Kommunikations-, Koordinations- und Einarbeitungsaufwand.
  • Optimismus: Entwickler sind oft optimistisch, was zu falschen Zeitplänen führt. Dies sollte durch die Anerkennung der inhärenten Komplexität und Unvorhersehbarkeit von Software (Invisibility, Complexity, Conformity, Changeability) gemildert werden.

4. Anti-Patterns im Projektmanagement

Anti-Patterns sind häufige, aber ineffektive Lösungsansätze, die oft zu Problemen führen.

Death by Planning

Übermäßige Planung führt zu komplexen Zeitplänen und Problemen.

Analysis Paralysis

Der Versuch, in der Analysephase Perfektion zu erreichen, führt zu Stillstand.

Throw it Over the Wall

Methodenrichtlinien werden als bloße Checklisten ohne echten Nutzen verwendet.

Smoke and Mirrors

Demonstrationssysteme (Demos) erzeugen falsche Wahrnehmungen und unrealistische Verpflichtungen.

Fire Drill

Plötzlich auftretende, dringende Anforderungen, die große Umstrukturierungen erfordern.

Irrational Management

Unentschlossenes Management führt zu chronischen Krisen.